21st July 2023
21st July 2023
This news article is more than a year old
New national criteria for CT scans
The Icelandic Radiation Safety Authority has published a new publication on Radiation in Computed Tomography (CT) scans and geographical criteria.

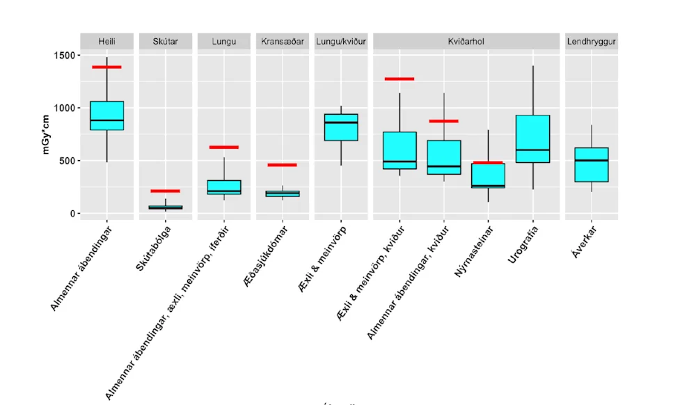
In 2020, data on longitudinal radiation from all CT scanners in Iceland were collected, and the publication publishes new national criteria based on that data.
Most radiation exposure resulting from medical imaging is due to CT scans. Those who take CT scans should monitor the radiation and take measures if it exceeds the national criteria set by the Icelandic Radiation Safety Authority.
Unlike earlier national criteria, the 2023 national criteria are not only related to the part of the body that is created, but also the reason for the study (indication).
The median longitudinal radiation for the entire country was below European norms for all indications, and new geographical references (2023) are lower than existing ones (2019).
The new publication is only available in Icelandic
The discussion of radiation in CT scans is detailed in Sigurbjargar Sigurðardóttir‘s Masters thesis, which is available in Skemman (summary available in English), and in an article published earlier this year in Physica Medica .